国家葡萄葡萄酒产业网
现代农业产业技术体系管理平台
网站总访问量:16321952人
设为首页|收藏本站
会议信息
网站广告
行向对酿酒葡萄马瑟兰果际微环境、果实品质及花色苷的影响 [2026/1/9 13:45:44] 来源: 作者:Admin

南疆综合试验站

户金鸽 白世践 蔡军社


  马瑟兰(Marselan)为红色酿酒葡萄品种,1961年由法国国家农业研究院(INRA)以‘赤霞珠’(Cabernet Sauvignon)和‘歌海娜’(Grenache Noir)为亲本杂交育成,具有抗旱、抗病的特点。行向是决定葡萄生长发育的关键因素,主要由于小气候效应(即辐射和温度)进而影响浆果组成。通过调整行向,可以使树冠内的PAR分布更好,从而增大果粒质量和体积。在山东胶东地区,东西向栽培的蓝莓果实的单果重、可溶性固形物、可滴定酸、类黄酮、叶绿素、类胡萝卜素含量均高于南北向栽培。但过度的高温强光,会灼伤葡萄浆果。同时,行向还会影响浆果的酚类物质、花色苷、香气等。


  1 材料与方法


  1.1 试验材料


  以新疆鄯善县吐鲁番楼兰酒庄有限公司(42°87'N, 90°33'E)母本园内东西向、南北向种植的8年生自根苗马瑟兰葡萄为试材,试验地海拔419 m,年降雨量25.3 mm,年蒸发量2 751 mm,全年日照时数为3 122.8 h10 ℃以上有效积温4 525 ℃以上,无霜期192 d,属于典型的大陆性暖温带荒漠气候,土壤质地为砾石砂壤土,株行距1.0 m×2.5 m


  1.2 试验设计


  马瑟兰葡萄种植行向为东西、南北行向,分别于东部、西部、南部、北部四个方向在果际处悬挂温湿度计监测果际微环境,每个方向悬挂3~4个温湿度记录仪。待果实成熟时,东西向、南北向种植的葡萄于叶幕两面分别进行采样,迅速运回实验室,随机选取30~50粒果粒,用锡纸包裹后立即置于液氮中,用于测定果皮花色苷组分。剩余的用于测定果实基本品质。


  1.3 测定指标及方法


  1.3.1 果际微环境的测定


  果际温湿度的测定:果实开花坐果后至果实成熟期间(202361日—2023823日),叶幕两侧分别在果际处悬挂温湿度计(EL-USB-2)监测果际温湿度,即东西行向南、北两侧,南北行向东、西两侧。果实采后取下统计每天的最低温、最高温、平均温度和平均湿度。


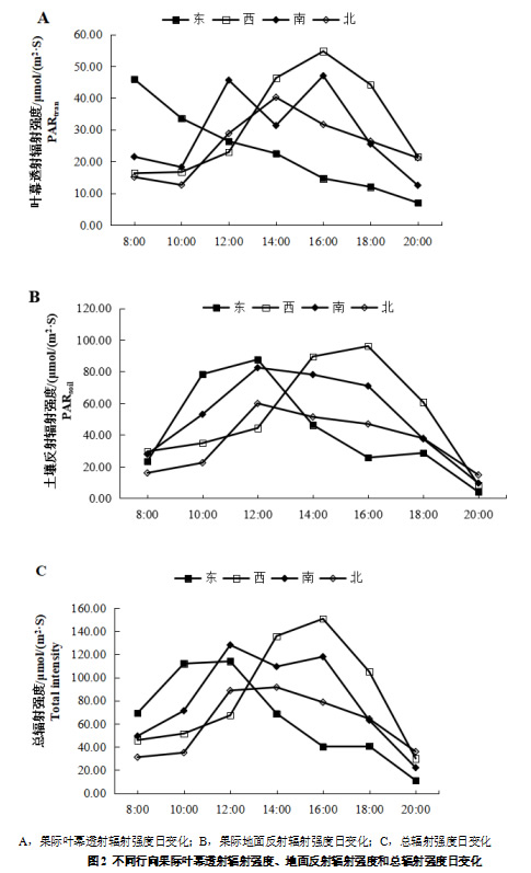
  果际叶幕透射强度和地面反射辐射强度的测定:选择晴朗无风的天气,在叶幕两侧用光合有效辐射仪(SPECTRUM3415F)于8:0010:0012:0014:0016:0018:0020:00测定果际叶幕透射强度和地面反射辐射强度。测定位置为垂直方向距离果穗 5 cm处,传感器水平向上测定透过叶幕后剩余的有效辐射为叶幕透射辐射(PARtran),传感器水平向下测定土壤向上反射的有效辐射为土壤反射辐射(PARsoil),每处理轮回测定不低于20个位点。


  总强度=果际叶幕透射强度+地面反射辐射强度。


  1.3.2 果实基本品质的测定


  果穗重量(g)和百粒重(g)用电子天平称量。


  果汁可溶性固形物、可滴定酸、还原糖的测定:随机选取20~30粒果实,用纱布挤出果汁,用PAL-1型手持数显折射仪(Atago, Tokyo, Japan)测定可溶性固形物,还原糖用35-二硝基水杨酸法测定[11],可滴定酸用酸碱滴定法测定,结果用酒石酸表示[11]pH值用pH计测定。各指标重复3次。


  糖酸比=还原糖质量浓度与可滴定酸质量浓度的比值。


  出汁率(%=果汁质量/果粒质量×100


  萎蔫率(%=萎蔫的果粒数/调查的总果粒数×100


  果皮色差的测定。果皮颜色用CI-400测定。随机选取20粒果实用色差仪测定果皮的L*a*b*值,计算C*值。根据Hunter Lab表色系统,其中L*值表示系统的亮度,L*越大,样品表面越亮。a*表示系统的红绿值,–a*为绿,a*越小样品越绿,+a*为红,a*越大,样品越红;b*表示系统的黄蓝值,–b*为蓝,值越小样品越蓝,+b*为黄,值越大,样品越黄;C*表示样品的彩度,值越大,表示所测的颜色越纯。C*=a*2+b*21/2h0=arctangentb*/a*),CIRG=180h0/L*+C*),CIRG<2为黄绿色,2<CIRG<4为粉红色,4<CIRG<5为红色,5< CIRG<6为深红色,CIRG>6为紫黑色。


  1.4 数据分析


  采用Excel 2010计算平均值(mean)±标准差(SD),显著性分析采用OriginLabOriginPro 2019b (MicroLalabUSA)统计软件LSD法,在显著水平为5%条件下进行比较。


  2 结果与分析


  2.1 行向对果际微环境的影响


  2.1.1 行向对果际温湿度的影响


  南北向叶幕东侧和西侧的平均温度高于东西向南侧和北侧,其中东侧略高于西侧,南侧略高于北侧;西侧的最高温高于东侧、南侧、北侧,西侧平均最高温是40.61 ℃,东侧38.70 ℃,南侧38.20 ℃,北侧37.66 ℃;东侧最低温略高于南侧、北侧和西侧,平均最低温分别是20.47 ℃、20.30 ℃、20.20 ℃、20.16 ℃。图1

 


  经统计分析发现,叶幕东侧大于35℃时长最长,依次分布是叶幕西侧、南侧、北侧,分别是595.5485.0450.5417.5h,叶幕西侧大于40℃时长最长为162.5h,其次是叶幕东侧103.5h,北侧的最短是67.0h。表1

 


  2.1.2 行向对叶面透射辐射和土壤反射辐射强度的影响


  叶幕东侧叶幕透射辐射强度随时间日变化而下降,西侧和北侧叶幕透射辐射强度均呈单峰曲线,西侧在1600达到最高值54.70 μmol/m2·s),北侧在1400达到最高值40.21 μmol/m2·s);南侧叶幕透射辐射强度呈双峰曲线,分别在12001600达到峰值,且1600的峰值高于1200,分别为4700 μmol/m2·s)和45.62 μmol/m2·s)。西侧的叶幕透射辐射强度最高,其次是南侧和东侧,北侧的叶幕透射辐射强度最低。图2-A


  叶幕东侧土壤反射辐射强度呈双峰曲线,大峰在1200,小峰在1800,其最大值分别是87.62 28.63 μmol/m2·s),西侧、南侧和北侧的土壤反射辐射强度均呈单峰曲线,西侧1600达到最大值96.00 μmol/m2·s),南侧和北侧均在1200达到最大值,分别是82.4559.88 μmol/m2·s)。西侧的土壤反射辐射强度最大,其次是东侧和南侧,北侧的最低。图2-B


  叶幕东侧、西侧和北侧的总辐射强度呈单峰曲线,分别在120016001400达到最大值,分别为113.97150.7091.55 μmol/m2·s),南侧总辐射强度呈双峰曲线,大峰出现在1200,小峰出现在1600,分别为128.07117.92 μmol/m2·s)。西侧的总辐射强度最大值高于南侧和东侧,北侧的总辐射强度值最低。图3-C

 


  2.2 行向对马瑟兰葡萄果实基本品质的影响


  叶幕北侧的果穗重量最大为133.75 g,其次是南侧(103.68 g),均显著高于东侧和西侧,西侧的果穗重量最新小是85.82 g,和东侧(90.23 g)无显著差异。东侧果粒的百粒重最大为95.80 g,显著高于南侧(87.40 g)和西侧(76.80 g),和北侧(93.40 g)无显著差异。表2


  叶幕西侧果实可溶性固形物最高是28.20 °Brix,其次是东侧28.07 °Brix,两者无显著差异;北侧和南侧果实可溶性固形物低于东西侧,可溶性固形物分别是24.6724.53 °Brix,南北两面可溶性固形物无显著差异,但显著低于东西侧果实可溶性固形物。西侧果实还原糖含量最高290.81 g/L,显著高于东侧、南侧和北侧,东侧的果实还原糖仅次于西侧,显著高于南侧和北侧果实还原糖含量,南侧和北侧果实还原糖分别是228.30223.57 g/L,无显著差异。果实可滴定酸含量从高到底依次是东侧、西侧、北侧、南侧,分别是1.230.940.740.68%,果实pH值从高到底依次是南侧、北侧、西侧、东侧,分别是3.483.323.283.03。南侧果实糖酸比高于北侧、西侧和东侧,分别是33.9031.0230.3221.90,南侧果实糖酸比和北侧、东侧有显著差异,和西侧无显著差异。


  叶幕北侧的出汁率最高,依次是南侧、西侧、东侧,出汁率分别是29.3727.6726.025.78%,均存在显著差异。叶幕西侧的果实萎蔫率显著高于叶幕其他侧,萎蔫率高达17.85%。表2

 

 

  2.3 行向对马瑟兰葡萄果皮酚类物质及抗氧化活性物质的影响


  叶幕南侧的果皮总酚、类黄酮含量、单宁含量均最高,分别是141.91 mg/g74.70 mg/g9900.00 mg/g,其次是叶幕北侧,叶幕东侧和西侧均较低。南北行向种植和东西行向种植时,果皮单宁含量均无显著差异。


  DPPH是通过清除自由基能力来评价其抗氧化活性的。叶幕东侧的果皮DPPH自由基清除能力显著高于叶幕西侧、南侧和北侧,自由基清除能力是27.96 mmol/g,其次是叶幕西侧,DPPH自由基清除能力是27.80 mmol/g,和叶幕北侧存在显著差异,叶幕北侧的果皮DPPH自由基清除能力最弱是27.61 mmol/g


  在734 nm吸收峰下,被氧化后的蓝绿色水溶性ABTS+自由基于抗氧化剂节后会褪色,因此,可以根据褪色情况来判断样品的抗氧化能力。叶幕北侧的ABTS阳离子自由基清除能力最强,依次是叶幕南侧、西侧、东侧,其ABTS阳离子自由基清除能力分别是1030.67974.00963.17881.50 mmol/g,但彼此间均无显著差异。


  FRAP通过测定马瑟兰葡萄果皮对Fe2+的还原能力评价其抗氧化能力。叶幕南侧果皮对Fe2+的还原能力最强,其次是叶幕北侧,分别是3627.503515.00 mmol/g,两者无显著差异,但均显著高于叶幕东侧和西侧。叶幕西侧果皮Fe2+的还原能力略高于叶幕西侧,但无显著差异。表3

 


  2.4 行向对果皮颜色和花色苷单体的影响


  2.4.1 行向对果皮颜色的影响


  叶幕西侧葡萄果皮L*值略大于东、南、北侧,果皮L*值均无显著差异。叶幕北侧果实a*最大是0.35,显著高于东侧,和西侧、南侧无显著差异。叶幕东、西、南、北侧的b*值均低于0,其中叶幕东侧的b*值最大,是-1.89,叶幕北侧的b*最低为-2.45,叶幕东、西、南、北侧的b*值相互间均无显著差异。叶幕北侧的C*值最大是1.76,依次分别是叶幕南侧1.71、东侧1.67,西侧1.62,彼此间均无显著差异。叶幕北侧果皮颜色指数(CIRG)最大是8.63,依次是叶幕南侧7.25,叶幕东侧5.91,叶幕西侧5.18,叶幕北侧果皮CIRG显著高于西侧,和南侧、东侧无显著差异。表4



  3 结论


  理论上认为,东西向种植遵循我国地理位置以及太阳东升西落规律,比南北行向更有利于作物生长,但由于地形和风向等方面不同会有所不同。罗新书等认为,在我国条件下,北边地区以选择北东(NE22.5°行向,中部地区应采用东西行向,南部地区以采用东西行向为最佳。刘永朝认为,地理纬度在40°N及以上时可采用南北行,可使树篱两侧受光均匀并获得一定的受光总时数;随纬度的降低,行向为南西30°、南西45°,到20°N时,行向为南西60°。我国幅员辽阔,地形地貌多变、气候类型丰富,风土多样,应根据当地的地形、风向、品种等因素选择当地适宜的种植行向,可以最大发挥葡萄园的潜力。


  在高温强光的吐鲁番地区,东西向种植的酿酒葡萄马瑟兰果实的综合品质优于南北向种植。