蓝莓贵阳综合试验站
崇慧影 赵亮清 安常蓉 段如雁 聂飞 文光琴
摘 要 :蓝莓因其果实富含丰富的抗氧化物质而备受关注,蓝莓新品种创制成为我国产业发展的瓶颈,但不同种类的蓝莓染色体倍性尚不清晰,本研究采用流式细胞仪技术对23份蓝莓种质材料进行了倍性鉴定,并分析了倍性与果实主要性状的相关性。结果表明:23份材料中共鉴定出二倍体1份,四倍体17份,六倍体5份。其中野生三花越橘鉴定为二倍体,南高丛和北高丛蓝莓品种为四倍体,兔眼蓝莓品种为六倍体;高丛类蓝莓果实普遍大于兔眼类,种子较少,口感较佳。本研究结果进一步丰富了蓝莓种质资源多样性数据库,为今后开展蓝莓杂交育种和新种质创制具有一定的参考意义。
关键词 :蓝莓;倍性鉴定;流式细胞仪;种质资源;果实特征
蓝莓是杜鹃花科越橘属植物,越橘属植物在全世界范围内分布广泛,约有450种[1]。我国的越橘属植物特别丰富,约有91个种,主要分布在我国西南和东北地区[2-3]。目前我国主要栽培的蓝莓类型有高丛蓝莓、矮丛蓝莓和兔眼蓝莓3大类。蓝莓果实中含有丰富的花青素,因其丰富的营养价值及保健作用被誉为全球水果之王,具有很高的开发价值和市场前景[4]。
倍性分析是开展倍性育种、杂交育种以及研究遗传转化等工作的基础,目前,流式细胞仪因其具有检测快、采集数据量大以及样品用量少等优点被广泛应用,国内研究者使用此方法在其他果树资源染色体倍性检测方面也取得了较好的成果[5]。据报道,国外学者在上世纪四五十年代就已经对蓝莓的染色体开展了研究,蓝莓的染色体基数X=12,在自然条件下蓝莓的栽培品种和野生品种都存在二倍体和多倍体[6]。丰富的倍性水平为蓝莓的遗传改良提供了优质资源,为新品种、新种质的选育和开发奠定基础。目前我国种植的蓝莓品种多为传统杂交和实生选种而来,而传统杂交育种的前提是了解遗传背景即亲本的染色体倍性,从而防止后代产生不育等现象,更有助于选育出抗逆性强、品质优的新品种。此外,有研究表明,染色体倍性与果实性状及种子质量等多个性状具有相关性[7-8],可为品种改良和育种提供遗传资源。
目前,我国栽培的蓝莓品种主要引自国外,因引种周期长、同名异物或同物异名等现象频发,给蓝莓的生产和育种工作带来了极大困扰,蓝莓新品种创制成为我国产业发展的瓶颈,需要攻克。加之,近年来,蓝莓的栽培和推广面积迅速扩大,而贵州省气候复杂多变,蓝莓遭受水分胁迫及病虫害加重等问题,这严重影响了蓝莓果实的产量和质量,制约了蓝莓产业健康发展。自蓝莓在我国引种栽培以来,尚未见对蓝莓不同品种进行较为全面的染色体倍性鉴定的研究报道,加之,对于一些蓝莓品种的染色体数目至今存在争议,为后期研究基因功能和杂交育种造成极大的困难,因此,开展倍性研究对我国蓝莓产业可持续健康发展具有非常重要的意义,为进一步丰富蓝莓种质资源多样性数据库以及遗传资源的合理开发利用奠定基础。
1 材料与方法
1.1 材料
蓝莓供试材料共23份,均于2024年3月下旬采集自贵州省植物园蓝莓种质资源圃(贵阳永乐乡),其中南高丛类品种12个,北高丛类品种5个,兔眼类品种5个,野生品种1个。如表1所示。
1.2 仪器与试剂
流式细胞仪、高速冷冻离心机、离心管等。解离液按照罗庆等[7]实验方法制备,并放置于4℃冰箱备用。
1.3 方法
实验参照施春晖等[10]的试验方法,于上午10点在种质资源圃采集新鲜的蓝莓嫩叶片,将约0.2 g嫩叶除去主叶脉后放置于培养皿中,加入2 mL解离液并用刀片快速切碎,将叶片切碎至粉末状,整个过程在冰盒上进行;将切碎后的组织用400目尼龙过滤布过滤到1.5 mL离心管中,过滤2次之后置于4℃冰箱中5 min,滤液取出加入解离液至1 mL并用5000 r/min转速离心1 min,4℃;弃上清再重复操作离心1次。加入80 μL PI置于4℃冰箱中染色15 min,混匀后,用流式细胞仪检测。
2 结果与分析
2.1 流式细胞仪倍性检测
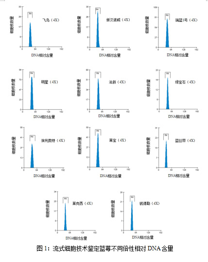
本研究利用流式细胞仪技术对23份蓝莓种质资源进行了染色体倍性鉴定。以六倍体兔眼蓝莓品种‘灿烂’为参照样品,使用参照材料对仪器进行校准后,再依次对其他供试材料进行检测,根据DNA含量相对比例情况判断其他供试品种的染色体倍性。其中,横坐标表示DNA相对含量,纵坐标表示细胞核数量,单个荧光峰表示该品种的细胞核数量相对荧光强度。结果显示:参照样品兔眼蓝莓‘灿烂’其峰值横坐标的位置为62.63;兔眼‘园蓝’其峰值横坐标位置为64.39,与参照样品比值是0.97,因此判断该品种为六倍体,兔眼‘粉蓝’其峰值横坐标位置为59,与参照样品比值是1.07,因此判断该品种为六倍体,与前人徐国辉等[2]报道均一致;证明实验参数可靠,后续实验即以此进行。不同蓝莓种质资源倍性见图1。

2.2 不同蓝莓种质资源的染色体倍性水平及果实性状
23份蓝莓染色体倍性检测结果与果实性状如表1所示,23份材料中二倍体1份,四倍体17份,六倍体5份。其中,二倍体1份,为野生‘三花越橘’;四倍体17份,分别为‘西班牙42’、‘密斯蒂’、‘H5’、‘F6’、‘奥尼尔’、‘飞鸟’、‘新汉诺威’、‘莱克西’、 ‘埃利奥特’、‘天后’、‘莱宝’、‘蓝丝带’、‘绿宝石’、‘钱德勒’、‘瑞蓝1号’、‘明星’、‘法新’;六倍体5份,分别为‘粉蓝’、‘圆蓝’、‘科威尔’、‘沃农’、‘灿烂’。高丛类单果重为1.57~3.4 g,果形指数为0.70~0.88,种子数为2~62个,固酸比为5.7~30.3,兔眼类单果重为0.85~2.62 g,果形指数为0.74~1.00,种子数为18~72个,固酸比11.1~25.6。由于野生类果实成熟较晚等原因,导致表1中数据不完全,有待进一步收集研究。
研究比照了蓝莓染色体的倍性与果实主要性状的关系,结果表明染色体倍性高低与果实性状具有较明显的相关性。所鉴定的23份蓝莓种质资源中,野生类为二倍体,高丛类均为四倍体,兔眼类均为六倍体。在倍性与果实重量方面,低倍性的果实重量总体上高于高倍性,四倍体的南高丛和北高丛类平均单果重约2.19 g和2.43 g,如南高丛‘F6’单果重3.4 g,北高丛‘莱克西’单果重3.04 g,兔眼类平均单果重约1.78 g,其中,‘灿烂’作为贵州省适应性较强的兔眼蓝莓品种其单果重达2.62 g;在果型方面,高倍性的果形指数总体上高于低倍性,六倍体的兔眼类果形指数在0.74~1.00,四倍体的高丛类果形指数在0.70~0.88,总体上来看,六倍体的兔眼类果型较圆,四倍体的高丛类果型呈扁圆形;在种子数方面,高倍性的种子数稍高于低倍性的种子数,四倍体的南高丛类平均种子数为38颗,四倍体的北高丛类为47颗,而六倍体的兔眼类为50颗;此外,作为鲜食的高丛类蓝莓为早熟品种,因其果大、种子少以及口感佳等原因深受消费者喜爱。
注:同列不同小写字母表示差异显著(p<0.05)。
3 讨论与结论
目前,流式细胞术在樱桃[11]、香蕉[12]、梨[13]、草莓[14]等多种果树倍性鉴定中均有应用,并且筛选出了成熟的分析方法;此外,在检测过程中,植物选材不当以及使用不同的裂解液和染色液均会影响倍性检测效果[15],如赵孟良[16]等采用不同组织部位检测菊芋倍性时发现嫩叶是检测倍性最理想的材料,王娅丽[17]等研究发现采用棉花嫩叶检测倍性时效果明显优于老叶,而本研究采用新鲜嫩叶作为检测材料,荧光信号较为集中,峰形效果较好。
23份材料中15个品种为初次报道倍性,此外,5份兔眼品种均为六倍体,与公旭彤[18]和陈冰心[19]报道兔眼类均为六倍体结果一致,1份北高丛品种与前人结果一致[4],2份不同。前人对一些蓝莓品种的倍性鉴定结果也存在差异,如‘蓝丰’品种,吴志娟、林晓露等[4、20]将其鉴定为四倍体,而王瑞芳、李晓艳等[21-22]将其鉴定为二倍体,不同研究者鉴定存有差异属正常现象,可能材料中存在同名异物现象,因此,要明确研究材料的一致性,其次,对于结果不一致的材料还需采用不同方法相互验证。该文新增的15份蓝莓倍性材料,很多种类都蕴藏着优质的性状,如‘F6’不仅果实大、种子少、口感极佳且耐储存,具有重要的开发和育种价值。
杂交育种和高倍体诱导育种是蓝莓的重要育种方式,杂交育种可通过重组亲本的优良基因,培育出新的植株。目前,通过杂交育种已培育出一些新品种,如利用大果品种‘斯巴坦’作为母本和南高丛蓝莓资源‘N6’作为父本杂交出果实大、味甜、多汁、果粉中、耐储藏等特点的新品种‘辽蓝513’[23];高倍体诱导育种的常见方式包括辐射诱变法、秋水仙素法、以及多倍体诱导融合技术等[24],李宏平[25]利用秋水仙素处理二倍体的南高丛越橘苗茎尖,成功获得了四倍体,该成果为培育果实大、抗逆性强的新品种提供了理论依据。染色体多倍化是蓝莓的重要生物学特征,具有较为丰富的遗传和形态多样性以及较强的抗逆性等。就本文材料而言,高丛类17份均为四倍体,如果通过人工诱导提高其倍性水平便可改良其性状,如增强植株抗病性,延长货架期等均可提高果实品质及产量;兔眼类5份均为六倍体,可以通过倍性育种改变其倍性,可能培育出果实大的性状,因兔眼类在贵州省成熟期较晚,一定程度上具有错开市场的优势,具有更高的市场优势;野生品种1份因果实数据未获得,且为低倍性的二倍体,但因其长期适应恶劣的自然环境具有较强的抗逆性,可作为新品种改良和培育的重要种质资源。该研究不仅丰富了蓝莓种质倍性资源库,也为蓝莓新品种开发和系统发育提供生物学资料。